الأساليب الكمية في التسويق 1
Résumé de section
-
عنوان الماستر: تسويق السداسي: الأول اسم الوحدة: وحدة تعليم أساسية
اسم المادة: الأساليب الكمية في التسويق الرصيد: 04 المعامل: 02
أهداف التعليم: من خلال هذا المقياس سيكون الطالب قادرا على تطبيق الأساليب الكمية في مختلف العناصر والعمليات التسويقية.
المعارف المسبقة المطلوبة: أساسيات التسويق1 و2، الإحصاء2 و3، بحوث العمليات.
محتوى المادة:
1. مدخل للمنهج الكمي في التسويق.
2. التنبؤ بمبيعات المنتجات الجديدة
3. التخطيط لبرنامج تسويقي: المسار الحرج CPM
4. تحليل الصراع في السوق: نظرية الألعاب
5. تسويق الخدمة: نظرية خطوط الانتظار
6. تحليل قناة التوزيع: نماذج النقل والتوزيع
7. تحليل التسويق الرقمي Digital Marketing Analytics
-
طريقة التقييم: تقيم مستمر + إمتحان نهائي ويقاس معدل المادة بوزن ترجيحي للدروس (60%) والأعمال الموجهة (40%)
معايير تقييم الأعمال الموجهة: الفروض: 10 نقط؛ العمل الشخصي: 06 نقط؛ حضور ومشاركة: 04 نقط
-
-
تهدف هذه المحاضرة إلى إكساب الطلبة بعض المفاهبيم الأساسية حول المنهج الكمي وأهميته في ترشيد القرارات الإدارية عموما، والقرارات والأنشطة التسويقية بشكل خاص، وتتضمن تعريف المنهج الكمي (أو الأساليب الكمية)؛ مراحله؛ أهميته واستخداماته في مجال التسويق؛ تعريف النماذج وأنواعها؛ نظم دعم القرارات ومكوناتها
-
تهدف هذه المحاضرة إلى تزويد الطلبة بالأدوات والتقنيات التي تساعد في التنبؤ بالمبيعات بشكل عام، ومبيعات المنتجات الجديدة بشكل خاص، وهي تتضمن: تعريف التنبؤ بالمبيعات؛ أهميته؛ مراحله؛ العوامل المؤثرة فيه؛ كما تناولت السلاسل الزمنية (تعريفها، شروطها، مكوناتها)، كما تطرقت لطرق التنبؤ بالمبيعات بشكليها (النوعية والكمية)، وقد تم التركيز على الطرق الكمية، سواء الملائمة للمدى القصير كالمتوسطات المتحركة والتمهيد الأسي؛ أو الملائمة للمدى الطويل كمعادلة الاتجاه العام والمعاملات الموسمية.
-
تهدف هذه المحاضرة إلى إكساب الطلبة لواحدة من أهم أساليب تحليل الصراع والمنافسة في السوق، وهي نظرية الألعاب أو المباريات، من خلال محاولة توظيفها في الإستراتيجيات التسويقية، وتتضمن المفاهيم الأساسية لنظرية الألعاب: أنواع الصراع والمنافسة، تعريف نظرية الألعاب، مفاهيمها الأساسية، أنواع الألعاب، قواعدها، مراحل حل مسائل الألعاب، ثم الجانب التطبيقي للنظرية: النمذجة الرياضية (مصفوفة الدفع)، قواعد السيطرة والاختزال، الحل الرياضيفي حالة الاستراتيجيات الصافية والاستراتيجيات المختلطة، سواء بالطريقة الجبرية أو البيانية.
-
جون فوربس ناش John Forbes Nash (1915 - 1928)، عالم رياضيات أمريكي قدم مساهمات أساسية في نظرية الألعاب، الهندسة التفاضلية، والمعادلات التفاضلية الجزئية. حصل ناش وزملاؤه من منظري نظرية الألعاب على جائزة نوبل في الاقتصاد عام 1994.
في عام 1959، بدأت تظهر على Nash علامات المرض العقلي، وقضى عدة سنوات في مستشفيات الطب النفسي لتلقي العلاج من مرض انفصام الشخصية. بعد عام 1970، تحسنت حالته ببطء، مما سمح له بالعودة إلى العمل الأكاديمي بحلول منتصف الثمانينات.
كانت حياة Nash موضوع كتاب سيرة ذاتية لـعام 1998 بعنوان "عقل جميل Beautiful Mind"، وأصبحت صراعاته مع مرضه وتعافيه أساسًا لفيلم يحمل نفس الاسم عام 2001، والذي قام فيه الممثل Russell Crowe بدور Nash. الفيلم حصل على 4 جوائر أوسكار.
-
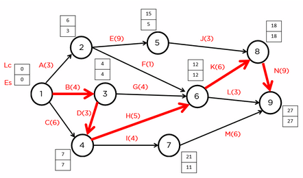
تهدف هذه المحاضرة إلى تمكين الطلبة من استخدام إحدى الأساليب الكمية (المسار الحرج Critical path) في تخطيط البرامج التسويقية، مثل حملة إعلانية، طرح منتج جديد، دراسة للسوق، بحوث تسويقية، إنجاز نقطة توزيع أو بيع، مششاركة في معرض تجاري ...)، وتتضمن المحاضرة مفاهيم أساسية حول البرنامج التسويقي (التعريف، المكونات، المراحل)، التطرق لطريقة المسار الحرج في تخطيط البرامج التسويقية (التعريف، المصطلحات والرسوم المستخدمة، القواعد، الخطوات، أنواع الأزمة، طرق الحساب)، وأخير تقديم وحل أمثلة عملية عن تخطيط برنامج تسويقي (طرح منتج جديد؛ حملة إعلانية بحث تسويقي) بواسطة طريقة المسار الحرج.
-
الواجب المنزلي الأول يتضمن تمرينين حول التنبؤ بالمبيعات ونظرية الألعاب. يتم تقديم الإجابة على الواجب في الإسبوع القادم بالنسبة للفوج الأول. وفي الأسبوع الذي يليه بالنسبة للفوج الثاني.
-
تهدف هذه المخاطرة إلى تمكين الطلبة من التحكم في التقنيات الكمية في مجال اختيار قنوات التوزيع ومسارات النقل، وتتضمن مفاهيم أساسية حول قنوات التوزيع، من حيث التعريف، العوامل المؤثرة، المعايير الكمية لاختيار قناة توزيع؛ ثم التطرق لنماذج النقل، من خلال التعرف على مفهوم مشكلة النقل، أنواعها، النموذج الرياضي لمسألة النقل، وطرق الحل الأولي (الركن الشمالي الغربي، أقل تكلفة،فوجل التقريبية)، واختبار أمثلية الحل الأولي وخطوات تحسين الحل حتى الوصول للحل الأمثل (طريقة القفز على الصخور، طريقة التوزيع المعدلة)، وأخيرا حل مجموعة من الأمثلة التطبيقية حول الطرق المذكورة سابقا.
-
تتناول المقالة أهمية استخدام المعايير الكمية في اختيار منافذ التوزيع لتحقيق ميزة تنافسية للمؤسسة الإنتاجي، وتؤكد على ضرورة التخطيط المحكم في تصميم واختيار قنوات التوزيع. تُبرز الدراسة كيف يمكن للمؤسسة تحقيق التميز التنافسي من خلال قنوات التوزيع المناسبة التي تصل إلى العملاء بالشكل المطلوب.
-
تستخدم المقالة الأساليب الكمية في بحوث العمليات لتحليل مشكلة نقل الأحجار الطبيعية، بهدف تقليل تكاليف النقل بين المحاجر والوحدات الإنتاجية في المؤسسة الوطنية للأحجار الطبيعية بسيدي بلعباس. وتهدف الدراسة إلى مساعدة الإدارة في اتخاذ قرارات فعالة حول كيفية توزيع الموارد لتخفيض النفقات.
-
تهدف هذه المحاضرة إلى تعريف الطلبة بمحتوى نظرية صفوف الانتظار، وكيفية الاستفادة منها في مجال تسويق الخدمات والسلع، وهي تتضمن: تعريف نظرية صفوف الانتظار؛ نشأتها؛ أهميتها؛ ثم التطرق لمفهوم نظام صفوف الانتظار: أنواعه؛ مكوناته؛ ثم الجانب الكمي لنظرية صفوف الانتظار، ويتضمن: فرضيات النموذج؛ القوانين الاحتمالية والرياضية للنموذج؛ أشكال حالات الانتظار وحالات تقديم الخدمة؛ أشكال نماذج صفوف الانتظار؛ وأخيرا التحليل الاقتصادي لصفوف الانتظار، وتضمن التمييز بين تكاليف الانتظار وتكاليف تلقي الخدمة؛ كيفية حسابهما؛ والاستفادة من ذلك في تحسين نظم الانتظار في المؤسسات.
-
يعرض الفيديو نظام صفوف الانتظار من أربع خدمات، ناطق باللغة العربية، من مؤسسة رحاب التنمية (الرياض، المملكة العربية السعودية)، النظام بالكامل يعمل لاسلكيا، ويقوم بحساب عدد العملاء على كاونتر، والوقت المستغرق لكل عميل، ومميزات أخرى متعددة.






